OLI是一款低成本高精度光学链路诊断系统。其原理基于光学相干检测技术,利用白光的低相干性可实现光纤链路或光学器件的微损伤检测。通过读取最终干涉曲线的峰值大小,精确测量整个扫描范围内的回波损耗, 进而判断此测量范围内链路的性能。
该系统轻松查找并精准定位器件内部断点、微损伤点以及链路连接 点。其事件点定位精度高达几十微米,最低可探测到-80dB光学弱信号, 广泛用于光纤或光器件损伤检测以及产品批量出货合格判定。
针对光纤微裂纹检测仪(OLI)我们有了初步的认识,那它在实际应用中有哪些特点?
测试原理
光纤微裂纹检测仪(OLI)基于光学相干检测技术与光外差检测技术相结合,其基本原理如下图所示。

图1. OLI光纤微裂纹检测基本原理
光源发出宽带连续光被耦合器分为两路,其中一束作为参考光,另一束作为探测信号光发射到待测光纤中。探测光在光纤中向前传播时会不断产生回波信号,这些回波信号光与参考光经过反射镜后反射回耦合器发生拍频干涉,并被光电探测器检测。电机控制反射镜Z移动进而改变参考光光程。
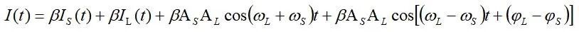
光电探测器检测到的光电流可以表示为:

其中,β为光电转换系数。上述表达式中前三项均被滤除(两项为直流项,一项为高频项),只剩最后的拍频项。WL-WS为拍频频率fb,通过设计带通光电转换电路,检测拍频信号。

图2. OLI距离-反射率曲线
依照光干涉理论,要发生干涉现象,其光程差需在相干长度范围内,而宽谱光的相干长度非常短,当反射镜移动时,从DUT返回的回波信号与反射镜相等距离的反射信号发生拍频。通过处理最终的拍频信号,DUT链路上每点反射回来信号的强度可以映射为该点的反射率(即曲线纵坐标),DUT的实际干涉位置对应反射镜Z移动的相应距离(即曲线横坐标),从而形成了OLI距离-反射率曲线。
测试案例
//案例1:测量FC/APC接头

图3. 盖紧的防尘帽


图4. 测试结果
防尘帽盖紧测量结果显示三个峰,第一个峰为FC/APC接头端面反射、第二个峰和第三个峰为防尘帽尾端两个反射,如图5所示。第一个峰和第二个峰之间相距1.47mm。

图5. 峰值示意图

图6. 防尘帽向后移动
向后移动防尘帽,测试结果如图7所示有三个峰,后两个峰值有所降低,因为光在空气中传输距离变长,损耗变大,第一个峰和第二个峰间距变为3.40mm,第二个峰和第三个峰的距离不变,峰值位置符合上述分析。


图7. 测试结果
以上峰值间距在折射率为n₁=1.467(设备默认折射率)下测得,则防尘帽向后移动距离L₁=(3.40mm-1.47mm)=1.93mm,但光在空气传播,折射率为n₂=1,所以防尘帽实际向后移动距离L₂=L₁*n₁/n₂=2.83mm。
//案例2:G-lens长度测量

图8. 单波长渐变折射率透镜与插芯耦合示意图
端面为斜8°的单波长渐变折射率透镜(G-lens)与带光纤的插芯耦合在一起,测量G-lens长度。

图9. 实际示意图

图10. OLI测量结果
测试结果如图10所示,第一个峰值为插芯与G-lens耦合面反射峰,第二个峰值为G-lens尾端反射峰,测试结果中dx=2.9mm为G-lens光程长度,是在折射率为n₁=1.467(设备默认折射率)下测得,而G-lens的实际折射率为n₂=1.6,则G-lens的实际长度为L=dx*n₁/n₂=2.66mm。
结论
光纤微裂纹检测仪(OLI)可以精确定位整个扫描范围内的回波损耗,实现微米级光纤链路或光学器件的微损伤检测。
如需了解更多详情,请随时联系我们的销售工程师!












